- 불확실성 발생요인
- 불확실성의 유형
- 불확실성의 표현 : 확률
- 베이지안(베이즈) 정리?
- 베이지안 계산방법
1. 불확실성의 발생요인
- 1) 정보의 부족
- 2) 애매한 정보
- 3) 잘못된 정보
2. 불확실성의 유형
- 1) 자료의 불확실성 : 자료수집 단계에서 관측되지 않는 미확인 자료 or 자료 획득을 위한 기계 또는 센서장치의 부정확성 + 오차
- 2) 지식의 불확실성 : 인간의 모호한 표현이 자연어로 처리되는 과정에서 모호한 내용으로 인한 여러가지 해석의 가능성 or 시스템에 획득한 지식의 표현 및 저장시 문제점
- 3) 정보의 불완전성 : 모든 상황에 대한 방대한 정보를 모두 다 입력받아 처리할 수 없음 (일부의 정보만 받아 판단해야 하기 때문에 정보가 불완전함)
- 4) 확률적 불규칙성 : 예측 불가능한 요인으로 인한 불규칙성 ( 운전중 갑작스럽게 튀어나오는 동물)
3. 불확실성의 표현 : 확률
- 불확실한 지식을 통계를 바탕으로 하는 확률로 표현한다.
- 일어나지 않은 일에 대한 확률을 '불확실성'의 개념으로 접근한다.
- 주어진 사건과 관련있는 여러가지 확률을 이용하여 새롭게 일어날 수 있는 사후 사건 확률을 추론한다.
4. 베이지안(베이즈) 정리?
- 베이지안 정리를 쉽게 설명해 주는 영상 추천합니다. (출처 : 위니버스)
- www.youtube.com/watch?v=Y4ecU7NkiEI
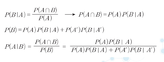
5. 베이지안 계산방법
반응형
'★ 프로그래밍 > º 인공지능융합교육과' 카테고리의 다른 글
소프트웨어(Software)의 개념과 유형(시스템, 운영체제) (0) | 2021.04.15 |
---|---|
/ 프로그램의 구조 (순차구조, 선택구조, 반복구조) (0) | 2021.04.13 |
알고리즘 : 특성, 특징, 평가기준, 설계기법, 표현방법 (0) | 2021.02.04 |
컴퓨팅 사고력(Computational Thinking) : 구성요소, 세부요소, 상세요소, 활용 사례 (0) | 2021.02.04 |
4차 산업혁명 미래교육 중점추진전략 : 유연화, 자율화, 개별화, 전문화, 인간화 (0) | 2021.02.04 |